Berechnung Profilfaktoren
| Reported by: |
(none) |
Owned by: |
|
|
Priority:
|
major
|
Milestone:
|
MS Plattform MVP
|
|
Component:
|
Plattform
|
Severity:
|
|
|
Keywords:
|
|
Cc:
|
|
|
Data type:
|
|
Deadline:
|
|
|
Depending on:
|
|
Implements:
|
|
|
Memaddress:
|
|
Observerlist:
|
|
|
Parent:
|
#428
|
Answer:
|
|
|
Type:
|
system
|
Revieweraccept:
|
|
|
Reviewerlist:
|
|
Reviewerreject:
|
|
|
Priority:
|
mid-term
|
Visibility:
|
|
|
Writable:
|
|
Class:
|
|
|
Criticality:
|
must have
|
|
|
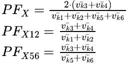
Die Berechnung der Profilfaktoren ist abhängig vom System (6 oder 8 Pfad)
Der gesamte Profilfaktor berechnet sich zu:
6 Pfad: 
8 Pfad: 
Im 6 Pfad System sind die Detail-Profilfaktoren:
In der X-Achse:

In der Y-Achse:

Im 8 Pfad System sind die Detail-Profilfaktoren:
tbd
Change History
(7)
| Description: |
modified (diff)
|
| Reporter: |
David Meister removed
|
| Description: |
modified (diff)
|
| Milestone: |
→ MS Plattform MVP
|