Opened 4 weeks ago
Last modified 2 days ago
#481 new task
Berechnung Symmetrieparameter
| Reported by: | (none) | Owned by: | |
|---|---|---|---|
| Priority: | major | Milestone: | MS Plattform MVP |
| Component: | Plattform | Severity: | |
| Keywords: | Cc: | ||
| Data type: | Deadline: | ||
| Depending on: | Implements: | ||
| Memaddress: | Observerlist: | ||
| Parent: | #428 | Answer: | |
| Type: | software | Revieweraccept: | |
| Reviewerlist: | Reviewerreject: | ||
| Priority: | mid-term | Visibility: | |
| Writable: | Class: | ||
| Criticality: | must have |
Description
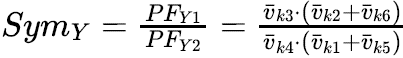
Die Berechnung der Symmetrie ist abhängig vom System (6 oder 8 Pfad)
Die Symmetrie in der X-Achse:
6 Pfad: 
6 Pfad: 
Die Symmetrie in der Y-Achse:
6 Pfad: 
PF_Y1 und PF_Y2: siehe #480
8 Pfad: tbd
Attachments (3)
Change History (4)
by , 4 weeks ago
by , 4 weeks ago
by , 4 weeks ago
comment:1 by , 2 days ago
| Milestone: | → MS Plattform MVP |
|---|---|
| Reporter: | removed |
Note:
See TracTickets
for help on using tickets.
![(please configure the [header_logo] section in trac.ini)](/rsm600_req/chrome/site/rmglogo.png)